• Предмет: Алгебра
  • Автор: Аноним
  • Вопрос задан 9 лет назад

Прмогите с #36 #37 срочно, заранее спасибо

Приложения:

Ответы

Ответ дал: mikael2
0
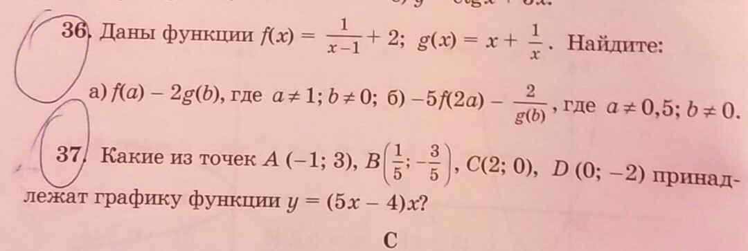
f(x)=1/(x-1)+2     g(x)=x+1/x

f(a)-2g(b)=1/(a-1)+2 -2(b+1/b)
-5f(2a)-2/g(b)=-5*(1/(2a-1+2))-2/(b+1/b)   

37.  (5x-4)x     -(-5-4)*1=9≠3      (5*1/5-4)*1/5 = -3/5  принадлежит графику
       (5*2-4)*2=12   12 ≠ 0    (5*0-4)*0=0   0≠-2










































































































































































Вас заинтересует