• Предмет: Алгебра
  • Автор: Kirill1214789
  • Вопрос задан 9 лет назад

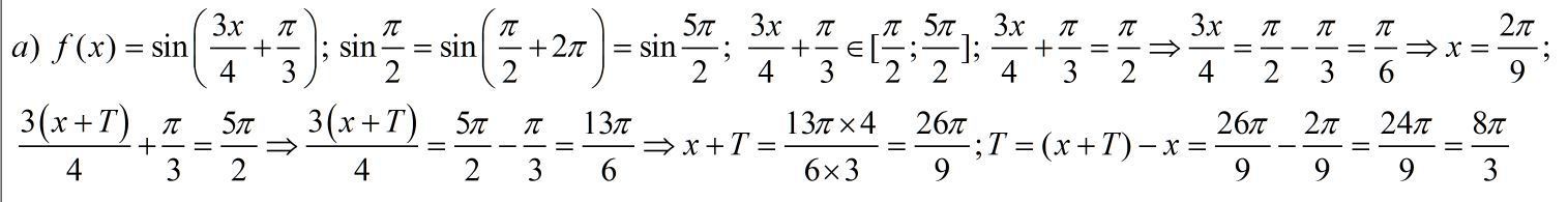
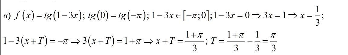
Помогите пожалуйста с алгеброй! Найдите наименьший положительный период функции f(x)=sin(3x4+п3 f(x)=tg(1-3x)

Ответы

Ответ дал: Аноним
0
////////////////////////////////////////////////////
Приложения:
Вас заинтересует