Ответы
Ответ дал:
0
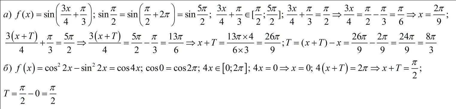
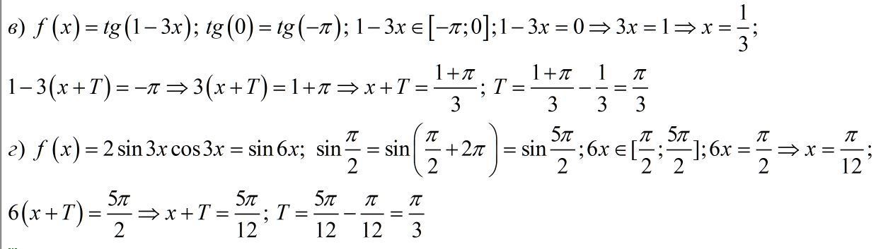
f(x)=f(x+T) x∈D(f) (x+T)∈D(f) (x-T)∈D(f)
Приложения:


Вас заинтересует
2 года назад
2 года назад
6 лет назад
6 лет назад
9 лет назад
10 лет назад
10 лет назад