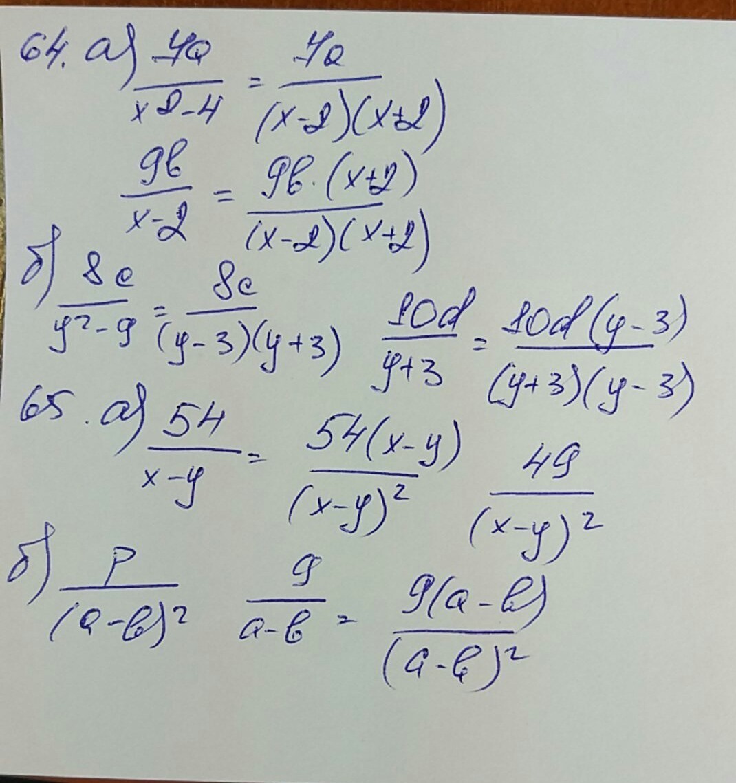
Преобразуйте заданное пары алгебраических дробей так чтобы получились дроби с одинаковыми знаменателями
Приложения:

Ответы
Ответ дал:
0
**********************
Приложения:

Вас заинтересует
2 года назад
2 года назад
6 лет назад
9 лет назад
9 лет назад
10 лет назад