Ответы
Ответ дал:
0
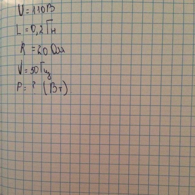
1)
Индуктивное сопротивление:
XL = ω*L = 2*π*υ*L = 2*3,14*50*0,2 ≈ 62,8 Ом
2)
Полное сопротивление:
Z = √ (R²+XL²) = √ (20²+62,8²) ≈ √ 4344 ≈ 66 Ом
3)
Ток:
I = U/Z = 110/66 ≈ 1,7 А
4)
Мощность:
P = I²*R = 1,7²*20 ≈ 56 Вт
Индуктивное сопротивление:
XL = ω*L = 2*π*υ*L = 2*3,14*50*0,2 ≈ 62,8 Ом
2)
Полное сопротивление:
Z = √ (R²+XL²) = √ (20²+62,8²) ≈ √ 4344 ≈ 66 Ом
3)
Ток:
I = U/Z = 110/66 ≈ 1,7 А
4)
Мощность:
P = I²*R = 1,7²*20 ≈ 56 Вт
Вас заинтересует
2 года назад
7 лет назад
7 лет назад
9 лет назад
9 лет назад
10 лет назад