• Предмет: Математика
  • Автор: djdh1ooo
  • Вопрос задан 9 лет назад

Номер два и побыстрее пжжж оч срочно дам 15 баллов!!!

Приложения:

Ответы

Ответ дал: kseniafolzz
0
вот.
_________________________
Приложения:
Ответ дал: ЕкатеринаАлексеева1
0
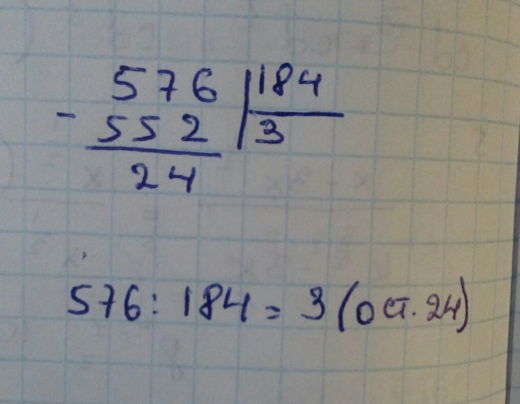
Смотри фотку там ответ с проверкой
Приложения:
Вас заинтересует