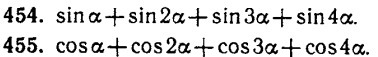
Решите пожалуйста тригонометрию. отдам 50 баллов
Вот формулы для помощи:
1)cos²
+sin²
=1
2)tg
=sin
÷cos
3)ctg
=cos
÷sin
4)tg
*ctg
=1
5)1+tg²
=1÷cos²
6)1+ctg²
=1÷sin²
7) 1-cos²
=sin²
8)1-sin²
=cos²
Приложения:


Ответы
Ответ дал:
0
Ответ
/$#@@@$/^/$$###$////$$#@$^&/#
/$#@@@$/^/$$###$////$$#@$^&/#
Приложения:

Ответ дал:
0
Это формулы были на 393 и 394, но я надеюсь все правильно, спасибо)
Вас заинтересует
2 года назад
2 года назад
3 года назад
9 лет назад
10 лет назад