• Предмет: Информатика
  • Автор: armanbaratyan
  • Вопрос задан 9 лет назад

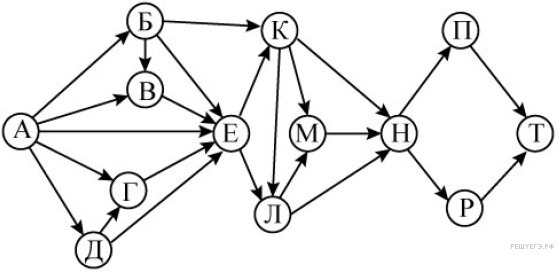
Нужна помощь со схемой дорог.У меня получилось 46

Приложения:

Ответы

Ответ дал: timmylol
0

А = 1

Б = А = 1

В = А + Б = 1 + 1 = 2

Д = А = 1

Г = А + Д = 1 + 1 = 2

Е = Б + В + А + Г + Д = 1 + 2 + 1 + 2 + 1 = 7

К = Б = 1

Л = Д = 1

М = К + Е + Л = 1 + 7 + 1 = 9

Н = К + М + Л = 1 + 9 + 1 = 11

П = Н = 11

Р = Н = 11

Т = П + Р = 11 + 11 = 22

Ф = П + Т + Р = 11 + 22 + 11 = 44

Ответ: 44

Вас заинтересует