• Предмет: Алгебра
  • Автор: KawaiiMIO
  • Вопрос задан 9 лет назад

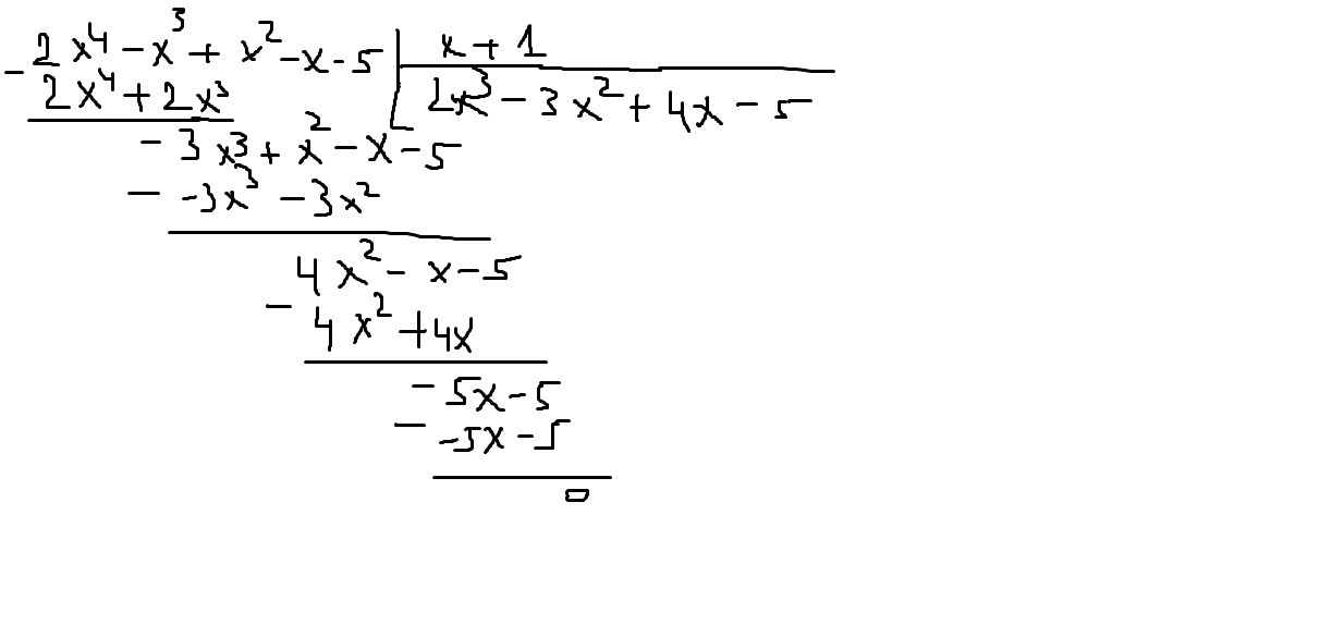
(2x^4-x^3+x^2-x-5):(x+1) Решите кому не сложно.

Ответы

Ответ дал: Аноним
0
Решение прицеплено на картинке
Приложения:
Вас заинтересует