Ответы
Ответ дал:
0
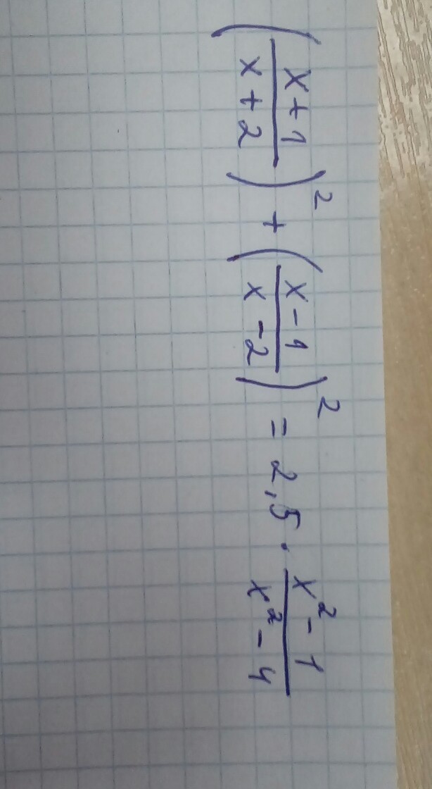
Решение в приложении.
Приложения:

Ответ дал:
0
Спасибо за ответ
Ответ дал:
0
Но я нашел еще легкий путь
Вас заинтересует
2 года назад
2 года назад
3 года назад
3 года назад
9 лет назад