• Предмет: Математика
  • Автор: Mops553
  • Вопрос задан 9 лет назад

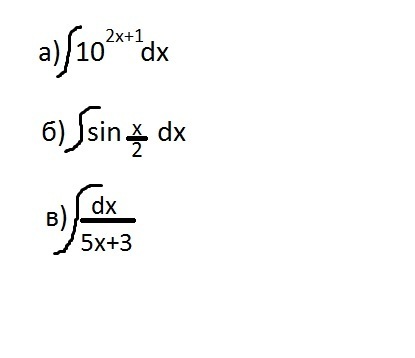
Проинтегрировать подходящей заменой переменной

Приложения:

Ответы

Ответ дал: NNNLLL54
0
1); ; int 10^{2x+1}dx=[, t=2x+1; ,; dt=2, dx, ]=frac{1}{2}int 10^{t}dt= \\=frac{1}{2}cdot frac{10^{t}}{ln10}+C=frac{10^{2x+1}}{2, ln10} +C \\2); ; int sin frac{x}{2} dx=[, t= frac{x}{2}; ,; dt= frac{dx}{2}, ]=2int sint, dt=\\=-2cost+C=-2cos frac{x}{2}+C\\3); ; int  frac{dx}{5x+3}=[, t=5x+3; ,; dt=5, dx, ]= frac{1}{5} int frac{dt}{t}=\\=frac{1}{5}cdot ln|t|+C=frac{1}{5} cdot ln|5x+3|+C
Вас заинтересует