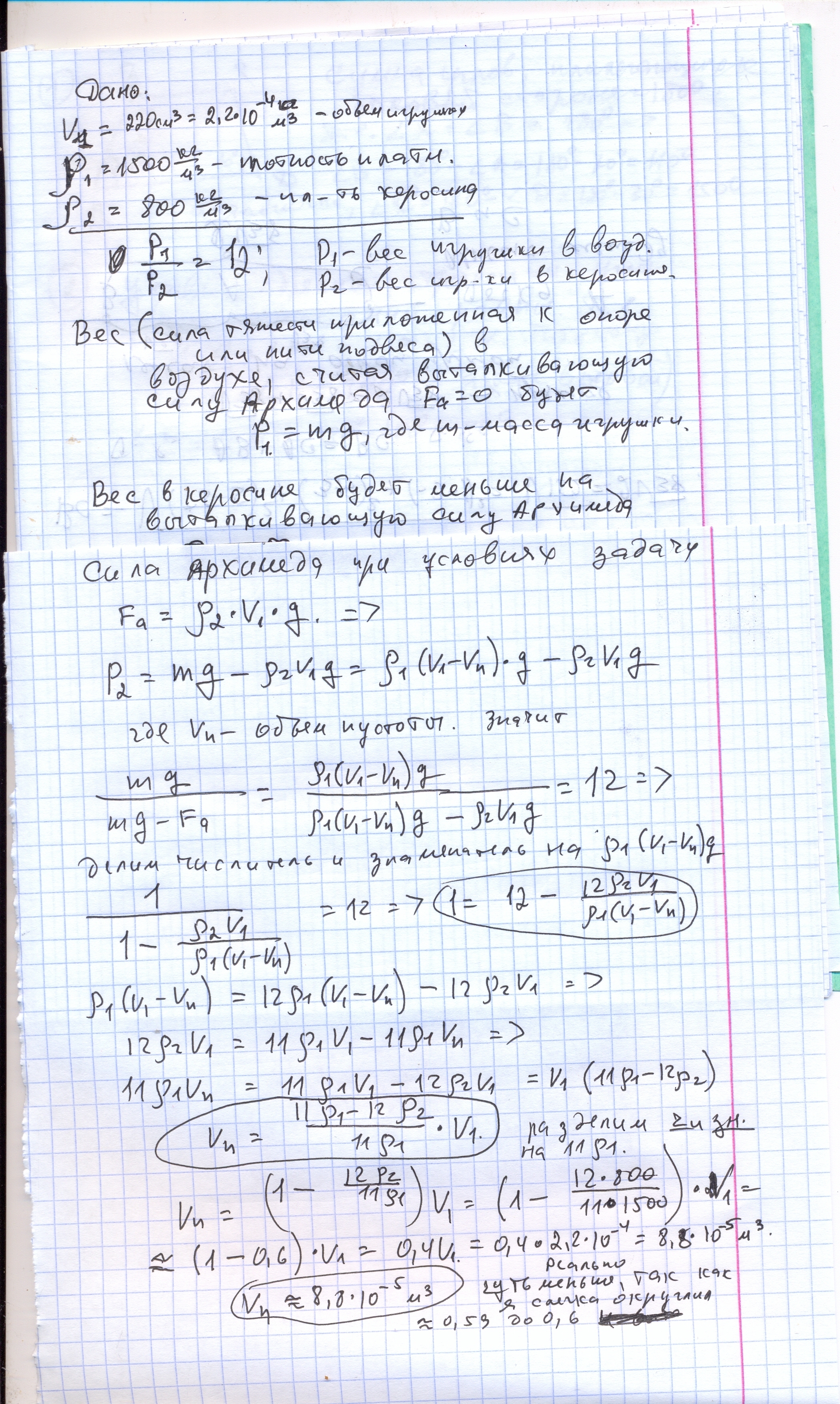
Полная пластмпссовая игрушка общим объёмом 220см в кубе при полном погружении в керосин весит в 12 раз меньге, чем в воздухе. Каков объём полости внутри игрушки, если плотность пластмпссв, из которой она сделана, равна 1500кг/м в кубе? Плотность керосина равна 800кг/м в кубе. Керосин внутрь не затекает!
Ответы
Ответ дал:
0
Надеюсь в расчетах не ошибся. Лучше проверьте.
Полная пластмассовая игрушка общим объёмом 220 см в кубе при полном погружении в керосин весит в 12 раз меньше, чем в воздухе. Каков объём полости внутри игрушки, если плотность пластмвссы, из которой она сделана, равна 1500кг/м в кубе? Плотность керосина равна 800 кг/м в кубе. Керосин внутрь не затекает!
Приложения:

Вас заинтересует
2 года назад
2 года назад
3 года назад
3 года назад
9 лет назад
10 лет назад