• Предмет: Математика
  • Автор: fggs358
  • Вопрос задан 9 лет назад

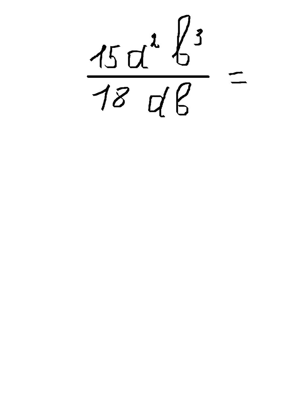
Сократите дробь:
(Пример внутри)

Приложения:

Ответа на этот вопрос пока нет. Попробуйте найти его через форму поиска.

Вас заинтересует