• Предмет: Математика
  • Автор: fggs358
  • Вопрос задан 9 лет назад

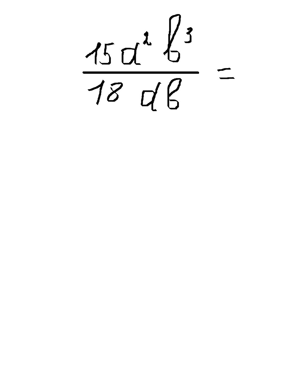
Сократите дробь:
(Пример внутри)

Приложения:

Ответы

Ответ дал: Nurzhan94
0
 frac{15a ^{2}b ^{3}  }{18ab}  frac{5ab ^{2} }{6}
Ответ дал: Nurzhan94
0
сократим на 3ab
Ответ дал: Аноним
0
пожалуйста сочинение свободолюбие гордость любовь к родине черты воспетые стивенсон повести вересковый мёд и мицкевич. свитязь. балладах
Вас заинтересует