Ответы
Ответ дал:
0
1 могу
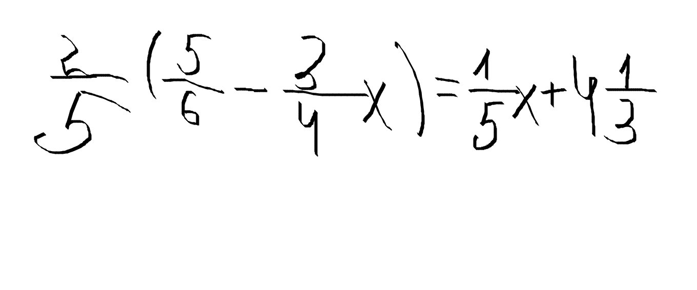
2/5 (5/6 - 3/4 x) = 1/5 x + 4 1/3 2×5/5×6(сокращаем 2 и 6, 5 и 5 убираются)- 2×3/5×4 x(2 и 4 сокращаются)= 1/5x+ 13/3
1/3-3/10x= 1/5x+13/3
(x влево, цифры вправа)
1/5x+3/10x= 1/3-13/3
2/10x+3/10x=-12/3
5/10x=-4
1/2x=-4
x=-4/ 1/2
x= -4/2 /1
x=-8
2/5 (5/6 - 3/4 x) = 1/5 x + 4 1/3 2×5/5×6(сокращаем 2 и 6, 5 и 5 убираются)- 2×3/5×4 x(2 и 4 сокращаются)= 1/5x+ 13/3
1/3-3/10x= 1/5x+13/3
(x влево, цифры вправа)
1/5x+3/10x= 1/3-13/3
2/10x+3/10x=-12/3
5/10x=-4
1/2x=-4
x=-4/ 1/2
x= -4/2 /1
x=-8
Вас заинтересует
3 года назад
3 года назад
8 лет назад
11 лет назад
11 лет назад
11 лет назад