• Предмет: Математика
  • Автор: fggs312
  • Вопрос задан 9 лет назад

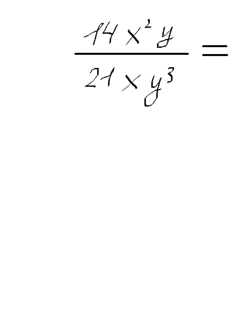
Сократите дробь:

Помогите пж:З

Приложения:

Ответы

Ответ дал: kikoshv
0
14х²у/21ху³=2х/3у²
числитель и знаменатель сокращаем на 7ху
Ответ дал: Dant3ss
0
2x делить на 3y во второй степени
Вас заинтересует