Ответы
Ответ дал:
0
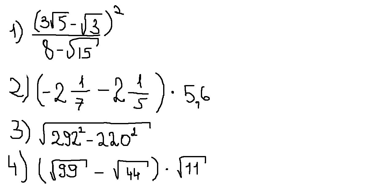
1)(3корень5-корнь3)^2/8-корнь15=45-6корень15+3/8-корнь15=48-6корень15/8-корнь15=6*8-6*корень15/8-корнь15=6(8-корнь15)/8-корнь15=6 сокращаем на 8-корнь15.
2)-2*1/7-2*1/5=-4*5+7/35=-4 12/35=-152
3)корень(292-220)^2=корень(292-220)(292+220)=корень72*512=корень36864=192
4)-
2)-2*1/7-2*1/5=-4*5+7/35=-4 12/35=-152
3)корень(292-220)^2=корень(292-220)(292+220)=корень72*512=корень36864=192
4)-
Вас заинтересует
3 года назад
8 лет назад
8 лет назад
11 лет назад
11 лет назад
11 лет назад