• Предмет: Алгебра
  • Автор: Fedor
  • Вопрос задан 11 лет назад

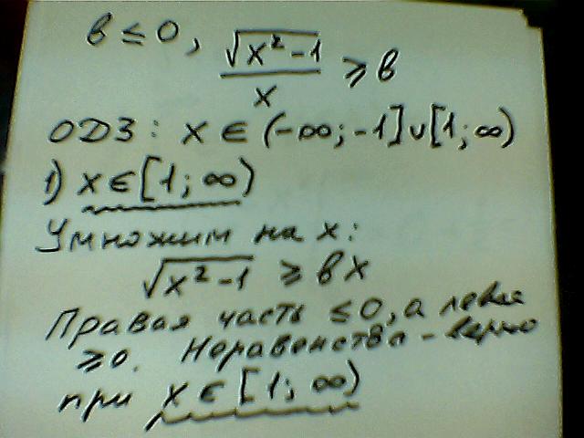
Для каждого значения параметра b<=0 решите неравенство (относительно x:

              sgrt(x^2-1)/x   >=b

Ответы

Ответ дал: vajny
0

Будем считать, что х в знаменателе - вне корня, иначе ответом будет просто ОДЗ. Далее смотреть приложение.

Приложения:
Вас заинтересует
11 лет назад