Ответы
Ответ дал:
0
/ - это знак дроби))
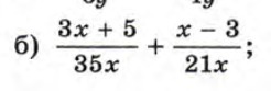
Смотри, сначала перемножим знаменатели(а соответственно и числители(первый числитель умножаем на второй знаменатель, а второй числитель умножаем на первый знаменатель)) (примерно понимаешь о чем я говорю?), а если короче,то после исходного выражения записываешь то, что я написала)
3(3x+5)+5(x-3) / 105x =
=9x+15+5x-15 / 105x =
=14x / 105x =
=2 / 15
надеюсь помогла)))
Смотри, сначала перемножим знаменатели(а соответственно и числители(первый числитель умножаем на второй знаменатель, а второй числитель умножаем на первый знаменатель)) (примерно понимаешь о чем я говорю?), а если короче,то после исходного выражения записываешь то, что я написала)
3(3x+5)+5(x-3) / 105x =
=9x+15+5x-15 / 105x =
=14x / 105x =
=2 / 15
надеюсь помогла)))
Вас заинтересует
2 года назад
2 года назад
3 года назад
3 года назад
10 лет назад
10 лет назад
10 лет назад