Ответы
Ответ дал:
0
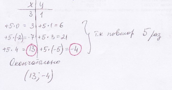
отталкиваемся от начальных значений координат, 5 раз повтор. Подробно во вложении
Приложения:

Вас заинтересует
2 года назад
3 года назад
3 года назад
9 лет назад
9 лет назад
10 лет назад