шарик скатывается по желобу без начальной скорости, движется с ускорением 0.25м/с^2. какой путь он пройдёт?
Ответы
Ответ дал:
0
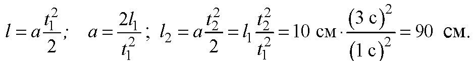
///////////////////////////)))))
Приложения:

Ответ дал:
0
вы уверены , что это подходит к моей задаче?
Ответ дал:
0
уверена
Вас заинтересует
3 года назад
3 года назад
9 лет назад