• Предмет: Математика
  • Автор: vipslasher11
  • Вопрос задан 9 лет назад

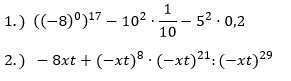
Вычислить. В каких случаях выражение не имеет смысла?

Приложения:

Ответа на этот вопрос пока нет. Попробуйте найти его через форму поиска.

Вас заинтересует