Ответы
Ответ дал:
0
СМОТРЕТЬ ФОТО
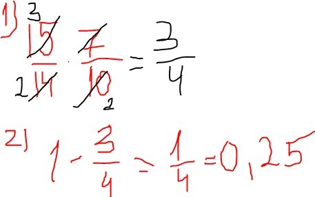
Ответ: 0,25
Ответ: 0,25
Приложения:

Вас заинтересует
2 года назад
3 года назад
3 года назад
9 лет назад
9 лет назад
10 лет назад
10 лет назад