• Предмет: Алгебра
  • Автор: tema161rus15
  • Вопрос задан 9 лет назад

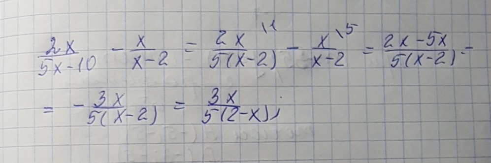
Помогите пж 2х х
____ - __
5х-10 х-2

Ответы

Ответ дал: подкожного
0
решение задания смотри на фотографии
Приложения:
Вас заинтересует