Ответы
Ответ дал:
0
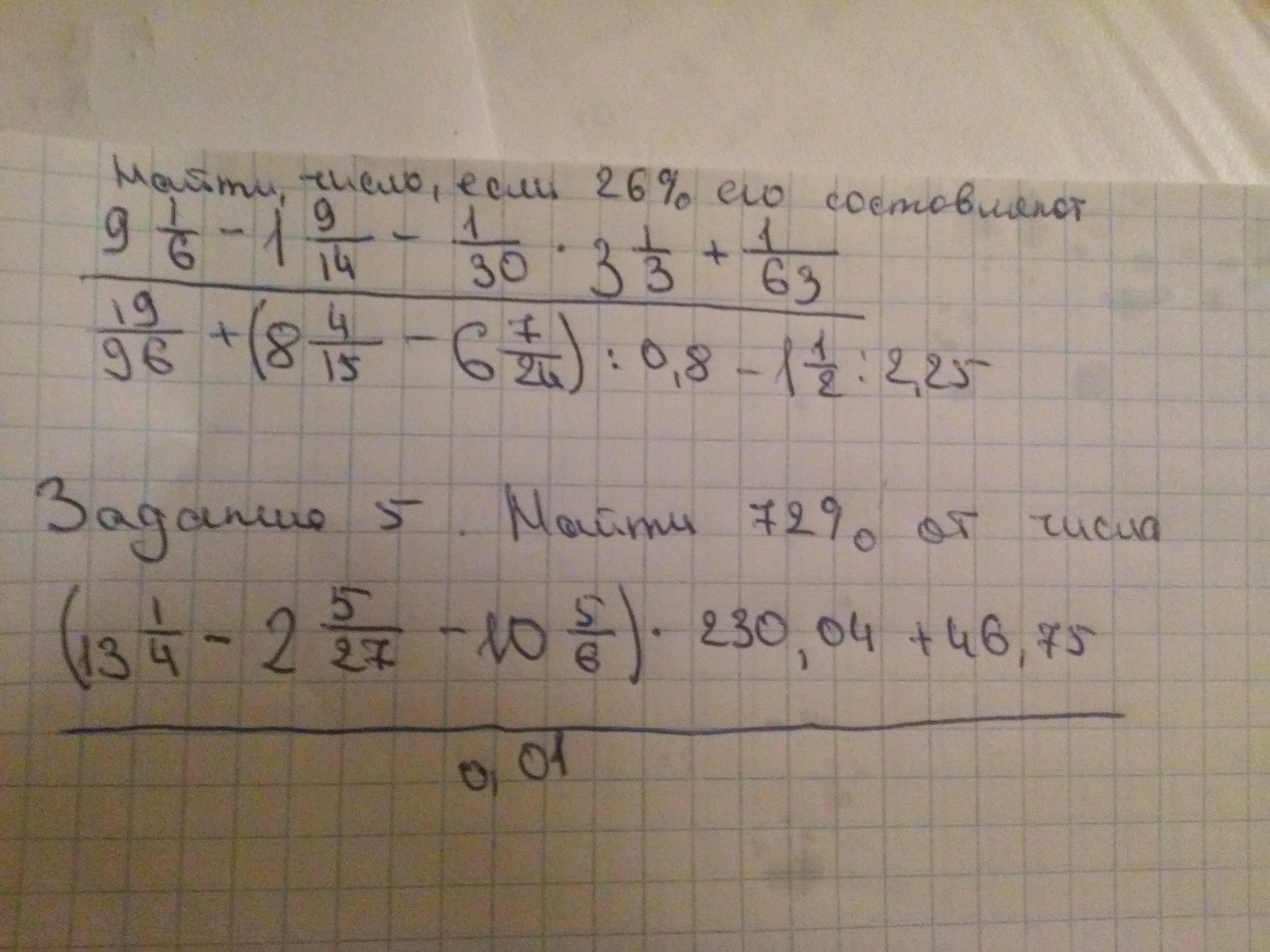
Прошу. Получите и распишитесь)))
Приложения:



Вас заинтересует
2 года назад
2 года назад
3 года назад
3 года назад
9 лет назад
10 лет назад
10 лет назад