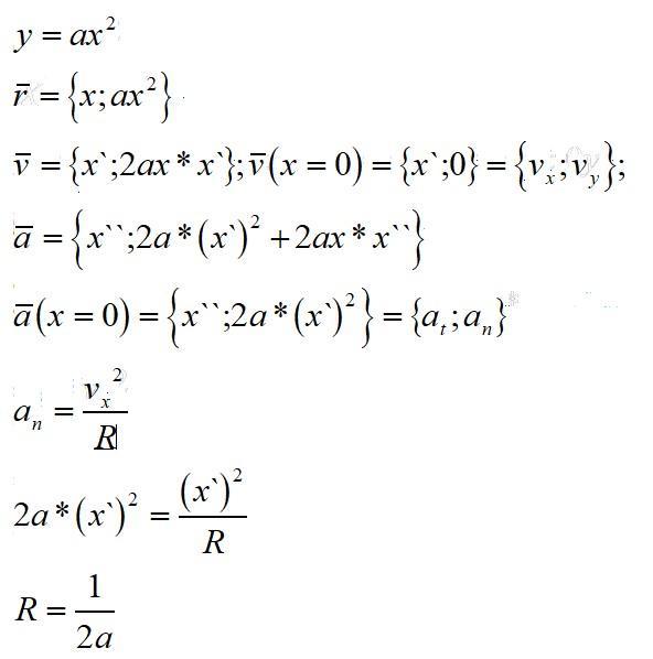
плоская траектория описывается уравнением y(x)=ax^2
определите чему равен радиус кривизны траектории в точке (0,0)
Ответы
Ответ дал:
0
Ответ:
R=1/(2*a)
Объяснение:
Приложения:
Вас заинтересует
2 года назад
2 года назад
3 года назад
3 года назад
10 лет назад
10 лет назад
10 лет назад