• Предмет: Алгебра
  • Автор: acoolka
  • Вопрос задан 9 лет назад

Производная сложной функции. Помогите, пожалуйста! СРОЧНО
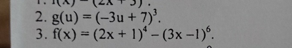
3 НОМЕР

Приложения:

Ответы

Ответ дал: fadarm
0
y'(x)=4(2x+1)^{3}*2-6(3x-1)^{5}*3=8(2x+1)^{3}-18(3x-1)^{5}
Ответ дал: acoolka
0
спасибо за решение, но вторая часть ответа немного друга там 18(3х-1)^5. вы не могли бы объяснить, как там получается 18?
Ответ дал: acoolka
0
немного другая *
Ответ дал: fadarm
0
производная от сложной функции ... сразу производная от степени (см. формулу) вперед получается 6, в степени остается 5, потом производная от выражения в скобках, получается 3... 3*6=18 и умножить на выражение в скобках в пятой степени
Ответ дал: acoolka
0
огромное Вам спасибо
Вас заинтересует