Ответы
Ответ дал:
0
Это все чем я могу помочь
Приложения:

Ответ дал:
0
мне никто сказать спасибо не хочет
Ответ дал:
0
а)8*11 =2
33*4 3
б)18*25 =3 1
75*12 3*2=2
а)6*25=3*5=15
35*8 7*4 28
б)2*9*12=3*2=3
6*8*3 4 2
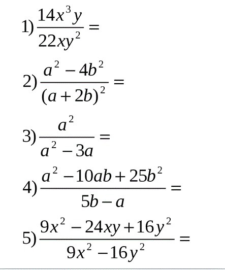
1)14x³ y=7x²
22xy² 11y
2)a² - 4b²=(a-2b)*(a+2b)=a-2b
(a + 2b) (a+2b)² a+2b
3)a² =a² =a
a² - 3a a*(a-3) a-3
4)a²-10ab+25b² =(a-5b)² =(-a-5b)=-a+5b
5b-a -(a-5b)
5)9x²-24xy+16y² =(3x-4y)² =3x-4y
9x²-16y² (3x-4y)*(3x+4y) 3x+4y
33*4 3
б)18*25 =3 1
75*12 3*2=2
а)6*25=3*5=15
35*8 7*4 28
б)2*9*12=3*2=3
6*8*3 4 2
1)14x³ y=7x²
22xy² 11y
2)a² - 4b²=(a-2b)*(a+2b)=a-2b
(a + 2b) (a+2b)² a+2b
3)a² =a² =a
a² - 3a a*(a-3) a-3
4)a²-10ab+25b² =(a-5b)² =(-a-5b)=-a+5b
5b-a -(a-5b)
5)9x²-24xy+16y² =(3x-4y)² =3x-4y
9x²-16y² (3x-4y)*(3x+4y) 3x+4y
Приложения:

Вас заинтересует
2 года назад
3 года назад
3 года назад
9 лет назад