• Предмет: Алгебра
  • Автор: antaresd04
  • Вопрос задан 9 лет назад

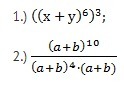
упростить.............................................................

Приложения:

Ответы

Ответ дал: простоя42
0
если не ошибаюсь, то как то так
Приложения:
Ответ дал: antaresd04
0
спасибоооооооооооооооооооооооооооооооо
Вас заинтересует