• Предмет: Алгебра
  • Автор: ARTEM054
  • Вопрос задан 9 лет назад

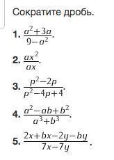
помогите мне пожалуйста срочно

Приложения:

Ответы

Ответ дал: Dianoshka0730
0
вот держи............
Приложения:
Вас заинтересует