• Предмет: Математика
  • Автор: KolyaKiyashko2002
  • Вопрос задан 9 лет назад

Пожалуйста, очень нужно. Я сам не понимаю, это построить график функции или что? Прошу помогите...

Приложения:

Ответы

Ответ дал: xxxeol
0
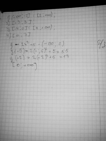
ДАНО
Y = x² + 5.
Y0) = 5 - пересечение с осью У.
График в приложении.
Приложения:
Ответ дал: xxxeol
0
Не очень понятны сами пункты в задании.
Ответ дал: KolyaKiyashko2002
0
Согласен.
Ответ дал: KolyaKiyashko2002
0
А ты в этом понимаешь?
Ответ дал: KolyaKiyashko2002
0
Если да, то я сейчас эти пункты уточню.
Ответ дал: xxxeol
0
Это моя математическая любовь.
Вас заинтересует