• Предмет: Алгебра
  • Автор: gvdhjn
  • Вопрос задан 9 лет назад

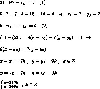
найти все целочисленные решения уравнения :1)10x+21y=1
2)x^2=12y+5

Ответы

Ответ дал: ВикчаАватария
0
Найти все целочисленны
Приложения:
Ответ дал: ВикчаАватария
0
Ну там не вошло
Вас заинтересует