Ответы
Ответ дал:
0
Решила номер 6666666666
Приложения:

Ответ дал:
0
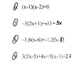
Номер 7. -3(2х+1)=-33-3х
-6х+3=-33-3х
-6х+3х=-33-3
-3х=-30
Х= -30:(-3)
Х=10
-6х+3=-33-3х
-6х+3х=-33-3
-3х=-30
Х= -30:(-3)
Х=10
Вас заинтересует
3 года назад
9 лет назад
9 лет назад