• Предмет: Алгебра
  • Автор: iskakova2000
  • Вопрос задан 9 лет назад

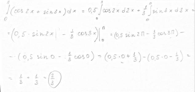
 intlimits^ pi _0 {(cos2x+sin3x)} , dx
Решите пожалуйста! Определенный интеграл!!

Ответы

Ответ дал: Сюръекция
0
.......................................................
Приложения:
Вас заинтересует