помогите решить уравнение с дробями (8:x-2,6)умножить на((x-3)(x-10,8-8,2):5)= срочно : (двоеточие) -ето дробь а x ето неизвестное пж помогите очень срочно
Ответы
Ответ дал:
0
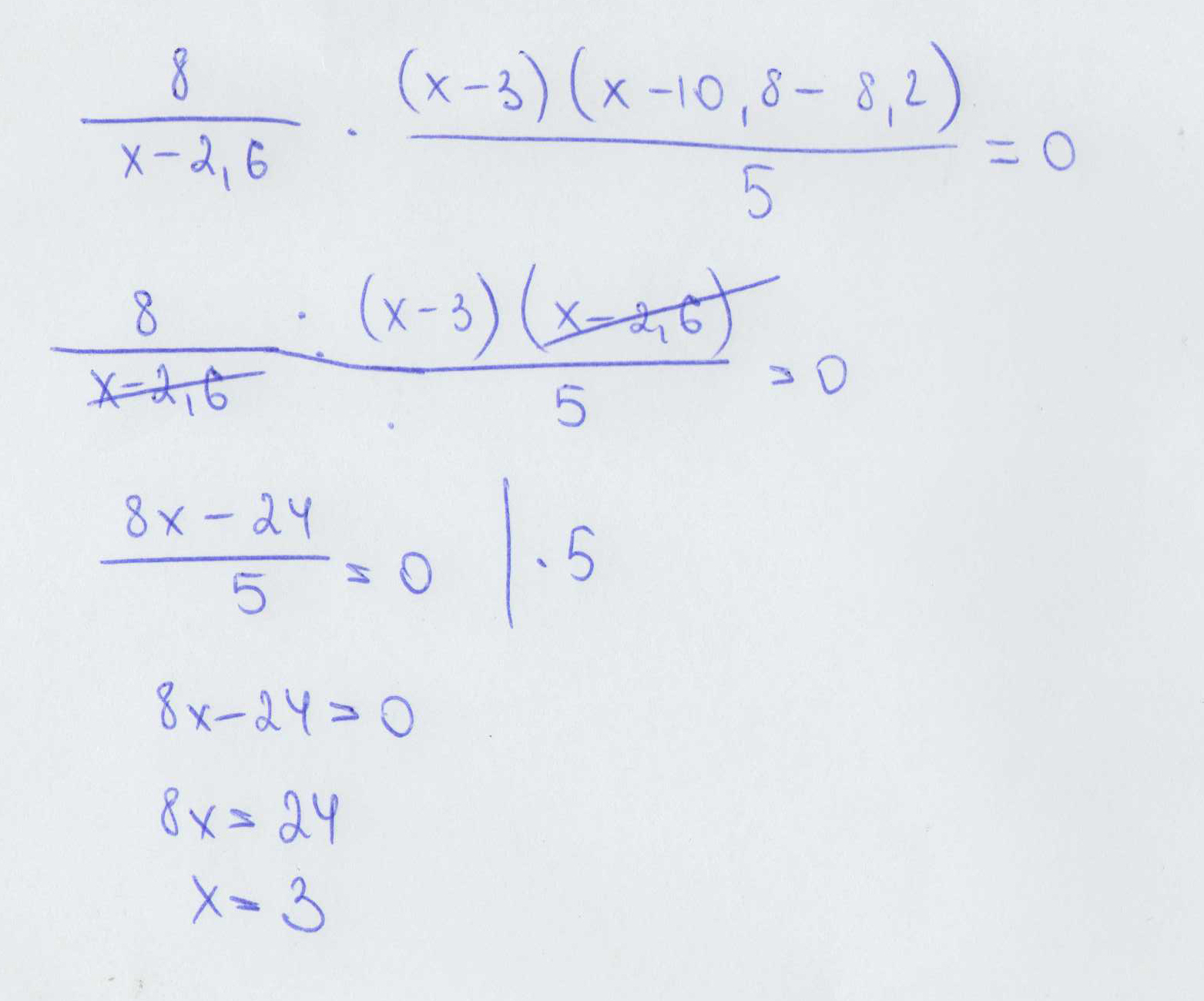
Ответ на фотографии.........
Приложения:

Ответ дал:
0
спасибо большое
Ответ дал:
0
Пожалуйста
Вас заинтересует
2 года назад
2 года назад
3 года назад
3 года назад
9 лет назад
10 лет назад