• Предмет: Алгебра
  • Автор: strplm17
  • Вопрос задан 9 лет назад

помогите решить
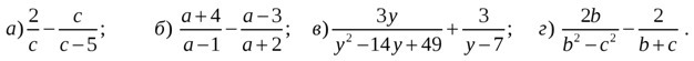
А3. Выполните действия:



Приложения:

Ответы

Ответ дал: udovichenkodani
0
2/c-c/c-5=
2/c(c-5)-c/c-5=
2c-10/c-c*c/c-5=
2c-10-cv2/c(c-5)
Вас заинтересует