• Предмет: Алгебра
  • Автор: rodaraskol
  • Вопрос задан 9 лет назад

СРОЧНО!!! Пожалуйста, помогите!
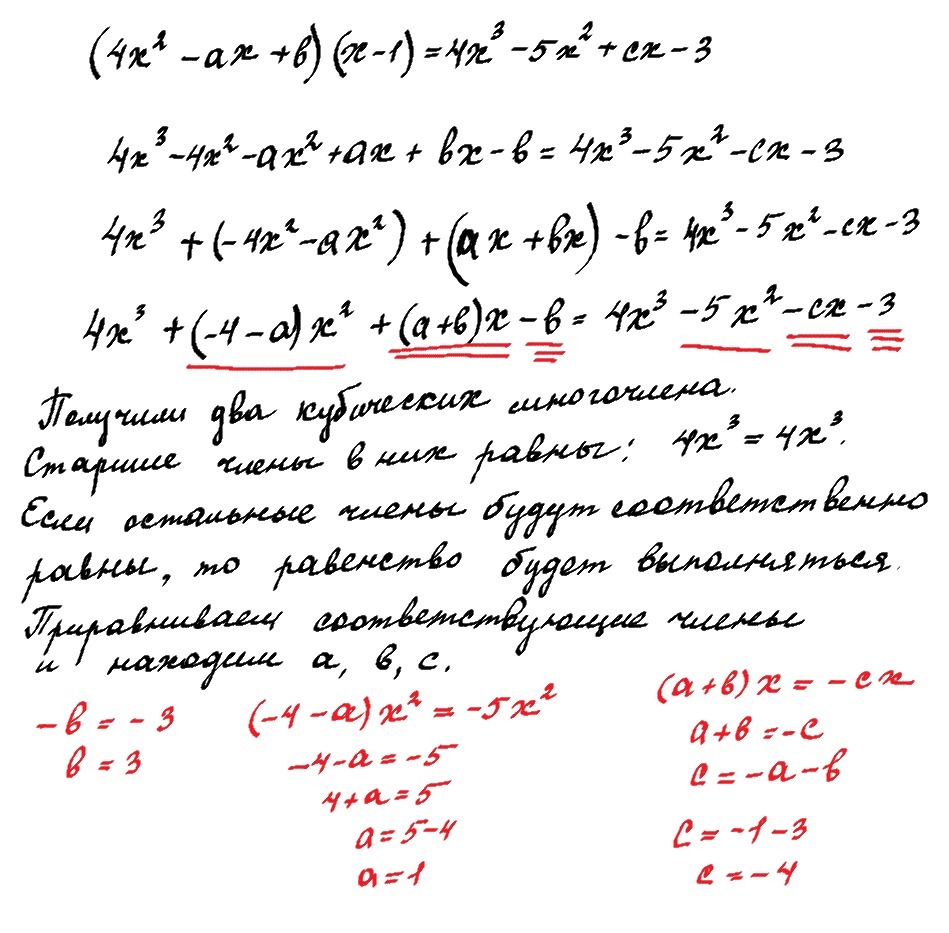
Найдите числа a,b,c из равенства (4x^2 - ax +b)(x - 1) = 4x^3 - 5x^2 + cx - 3

Ответы

Ответ дал: UluanaV
0
Решение в прикрепленном файле.
Приложения:
Ответ дал: LFP
0
но -4х²-ах² = (-4-а)х² = -(4+а)х²... 4+а = 5... а = 1
Вас заинтересует