• Предмет: Алгебра
  • Автор: VIRUS00000
  • Вопрос задан 9 лет назад

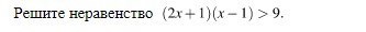
решите не равенство

Приложения:

Ответы

Ответ дал: PavelZ19
0
1. Раскрываем скобки:
2x+1*(x-1)>9
2x+x-1>9
2. Складываем переменные:
3x-1>9

Ответ дал: PavelZ19
0
Но это не точно
Ответ дал: PavelZ19
0
Дальше не знаю как
Ответ дал: PavelZ19
0
А какой это класс?
Вас заинтересует