помогите пожалуйста!)
упростить выражение
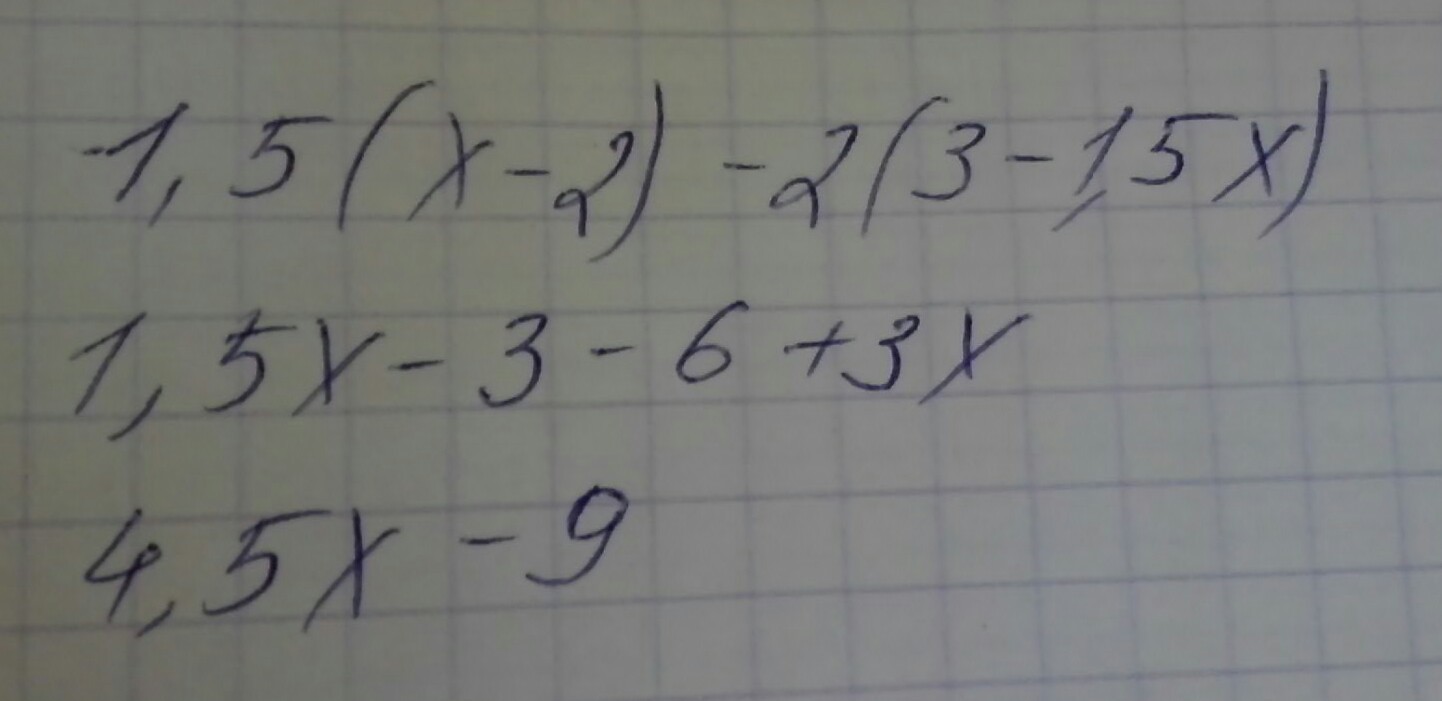
1,5(x-2)-2(3-1,5x)
и найти его числовое значение при x=-0,2
Ответы
Ответ дал:
0
дальше просто подставь вместо х число
Приложения:

Вас заинтересует
2 года назад
3 года назад
9 лет назад
9 лет назад
10 лет назад