Ответы
Ответ дал:
0
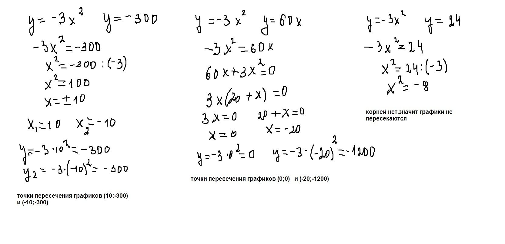
чтобы найти точки пересечения графиков надо приравнять правые части и решить уравнеия
Приложения:

Ответ дал:
0
Спасибо
Ответ дал:
0
пожалуйста.в сообщении я не могу открыть задания
Вас заинтересует
2 года назад
3 года назад
3 года назад
10 лет назад