• Предмет: Алгебра
  • Автор: rozalvovna79ox7edv
  • Вопрос задан 9 лет назад

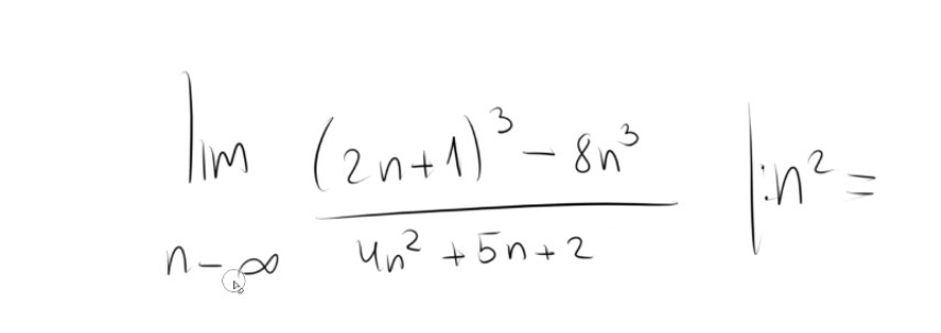
Ребят помогите пожалуйста вычислить предел.

Приложения:

Ответа на этот вопрос пока нет. Попробуйте найти его через форму поиска.

Вас заинтересует