• Предмет: Физика
  • Автор: SoldierDebil
  • Вопрос задан 9 лет назад

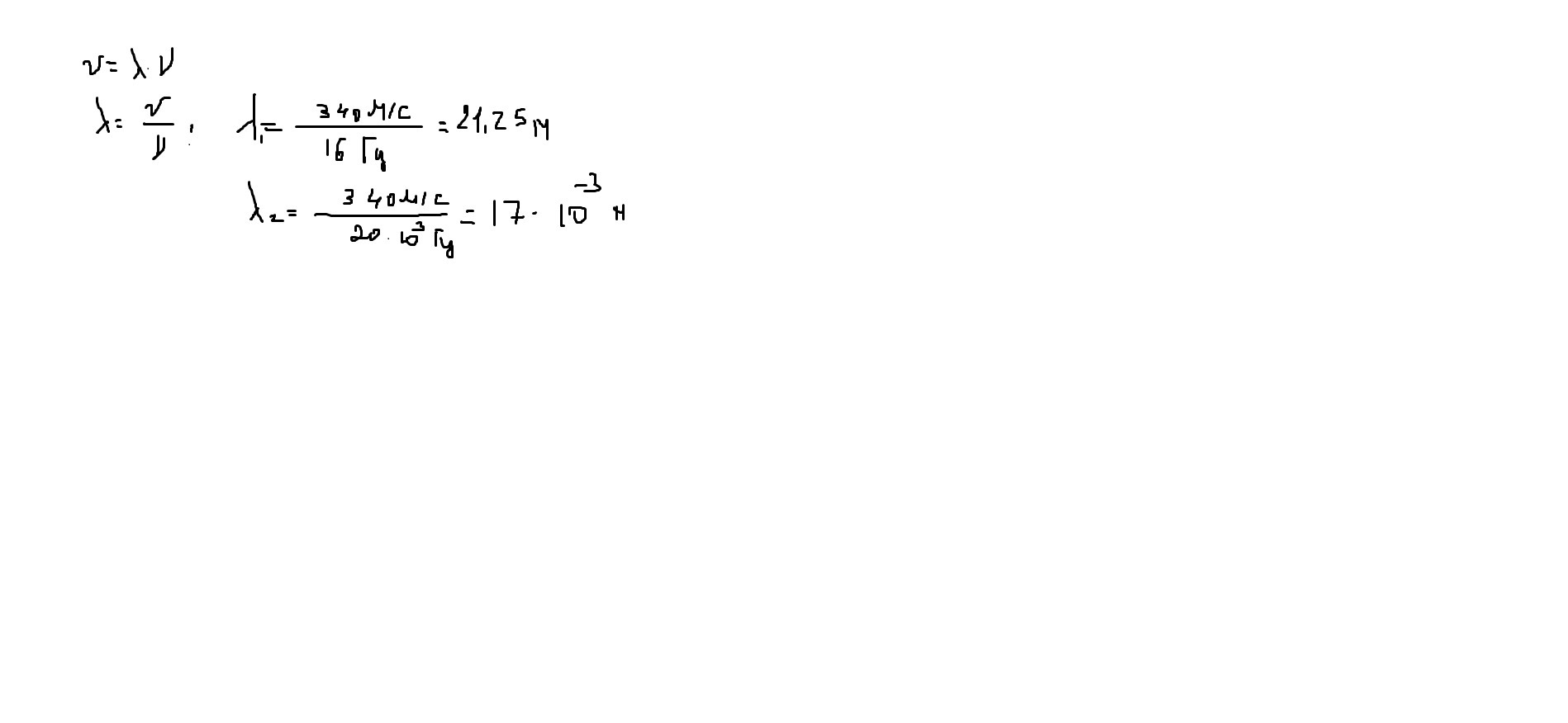
Определите предельную длину звуковой волны, воспринимаемой человеческим ухом. Скорость звука в воздухе считать равной 340 м/с

Ответы

Ответ дал: Amorfus
0
Человек может воспринимать звук в диапазоне частот от 16 до 20 кГц. Отсюда и диапазон длин волн. 
Приложения:
Вас заинтересует