• Предмет: Алгебра
  • Автор: jeffreythekille
  • Вопрос задан 9 лет назад

Нужна помощь, срочно. Алгебра 8 класс. Напишите решение

Приложения:

Ответы

Ответ дал: 99tasha
0
3)
1) при х=-1
2) при а=5
3) при х=1, х=-1
4) при у=2
5) при а=-4
6) при х=7, х=-7
7) при а=-3, а=-9
8) при х=3, х=-3

Первое задание в фото:

Приложения:
Ответ дал: jeffreythekille
0
Спасибо. Жду
Ответ дал: 99tasha
0
Получилось, сейчас скину
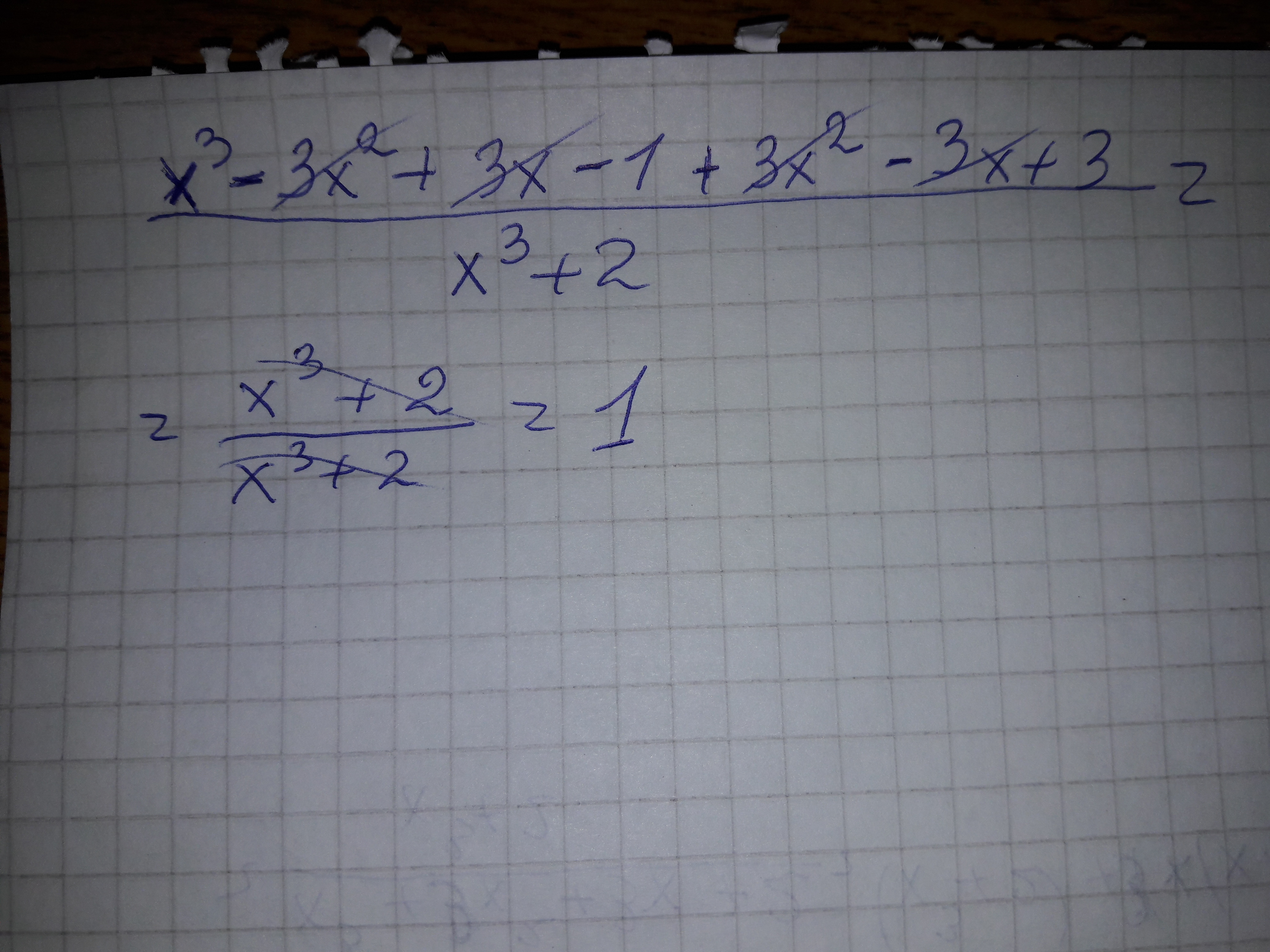
Ответ дал: 99tasha
0
смотри, добавила
Ответ дал: jeffreythekille
0
Спасибо вам огромное)))
Ответ дал: 99tasha
0
Пож-та)))))))
Вас заинтересует