Ответы
Ответ дал:
0
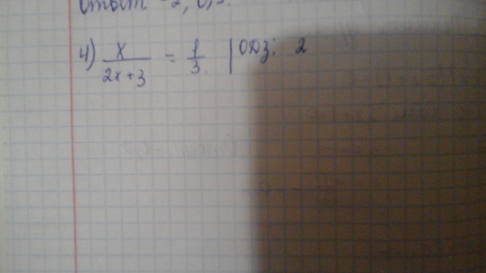
ОДЗ: 2х + 3 ≠ 0
2х ≠ - 3
х ≠ - 1,5

3х = 2х + 3
3х - 2х = 3
х = 3
3 ≠ - 1,5 - отвечает ОДЗ
2х ≠ - 3
х ≠ - 1,5
3х = 2х + 3
3х - 2х = 3
х = 3
3 ≠ - 1,5 - отвечает ОДЗ
Вас заинтересует
2 года назад
2 года назад
3 года назад
10 лет назад
10 лет назад