• Предмет: Математика
  • Автор: makschurkin
  • Вопрос задан 9 лет назад

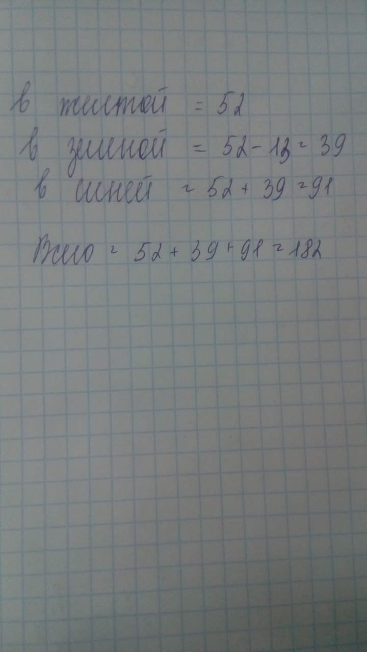
Помогите с условием задачи В жёлтой папке 52 листа бумаги , что на 13 листов больше чем в зелёной.В синей папке столько листов,сколько в жёлтой и зелёной вместе .Сколько листов бумаги в трёх папках?

Ответы

Ответ дал: Anastasiy1015
0
Смотри ответ в файле
Приложения:
Вас заинтересует