помогите пожалуйста меня в школе не было тему не знаю помогите решить прошу( тема: первые представления о рациональных уравнениях) в учебнике нету обьяснения сразу задания
Приложения:

Ответы
Ответ дал:
0
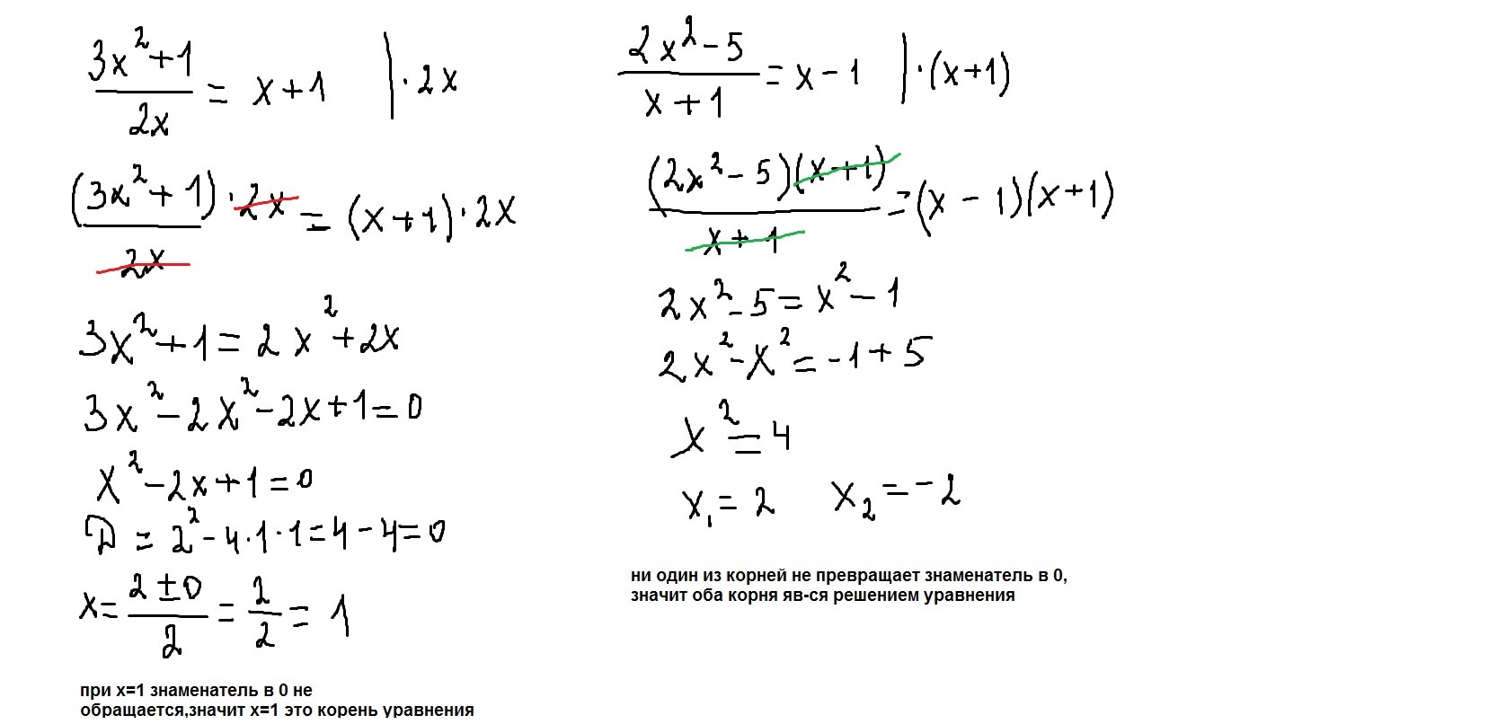
решение задания смотри внизу,там же есть картинка с алгоритмом решения
Приложения:


Ответ дал:
0
спасибо большое
Вас заинтересует
2 года назад
3 года назад
3 года назад
9 лет назад
9 лет назад
10 лет назад