• Предмет: Математика
  • Автор: Аноним
  • Вопрос задан 9 лет назад

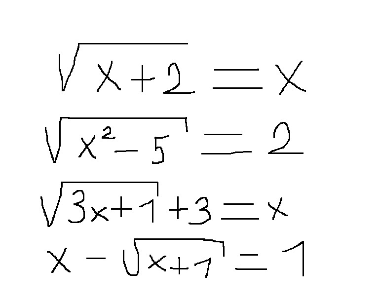
Решить иррациональные уравнения.По плану.
1.Преобразовать уравнение к виду √f(x)=g(x)
       f(x)- под корнем
2.возвести обе части в квадрат
3.решить получившееся уравнение
4.проверка
5.ответ

Приложения:

Ответы

Ответ дал: NNNLLL54
0
1); ;  sqrt{x+2} =x; ,; ; ODZ:; ; x geq -2\\x+2=x^2\\x^2-x-2=0\\x_1=-1; ,; ; x_2=2; ; (teorema; Vieta)\\Proverka:quad x=-1:; ;  sqrt{-1+2} ne -1; ,; 1ne -1\\x=2:; ; sqrt{2+2}=2; ,; ; sqrt4=2; ,; ; 2=2\\Otvet:; ; x=2.

2); ; sqrt{x^2-5}=2; ,\\ODZ:; x^2-5geq 0; ,; (x-sqrt5)(x+sqrt5)geq 0\\xin (-infty ,-sqrt5)cup (sqrt5,+infty )\\x^2-5=4\\x^2-9=0\\(x-3)(x+3)=0\\x_1=-3; ,; ; x_2=3\\Proverka:; ; x_1=-3:; ; sqrt{9-5}=2; ,; ; sqrt{4}=2; ,; ; 2=2\\x_2=3:; ; sqrt{9-5}=2; ,; ; 2=2\\Otvet:; ; x_1=-3; ,; ; x_2=3; .

3); ; sqrt{3x+1}+3=x\\sqrt{3x+1}=x-3; ,; ; ODZ:; ; x-3geq 0; ,; xgeq 3\\3x+1=x^2-6x+9\\x^2-9x+8=0\\x_1=1notin ODZ; ,; ; x_2=8\\Proverka:; ; x=8:; ; sqrt{25}+3=8; ,; ; 5+3=8; ,; ; 8=8\\Otvet:; ; x=8

4); ; x-sqrt{x+1}=1\\sqrt{x+1}=x-1; ,; ; ODZ:; ; x-1geq 0; ,; ; xgeq 1\\x+1=x^2-2x+1\\x^2-3x=0\\x(x-3)=0\\x_1=0notin ODZ; ,; ; x_2=3\\Proverka:; ; x=3:; ; 3-sqrt4=1; ,; ; 3-2=1; ,; 1=1\\Otvet:; ; x=3; .
Ответ дал: Аноним
0
Спасибо большое)))
Вас заинтересует