Ответы
Ответ дал:
0
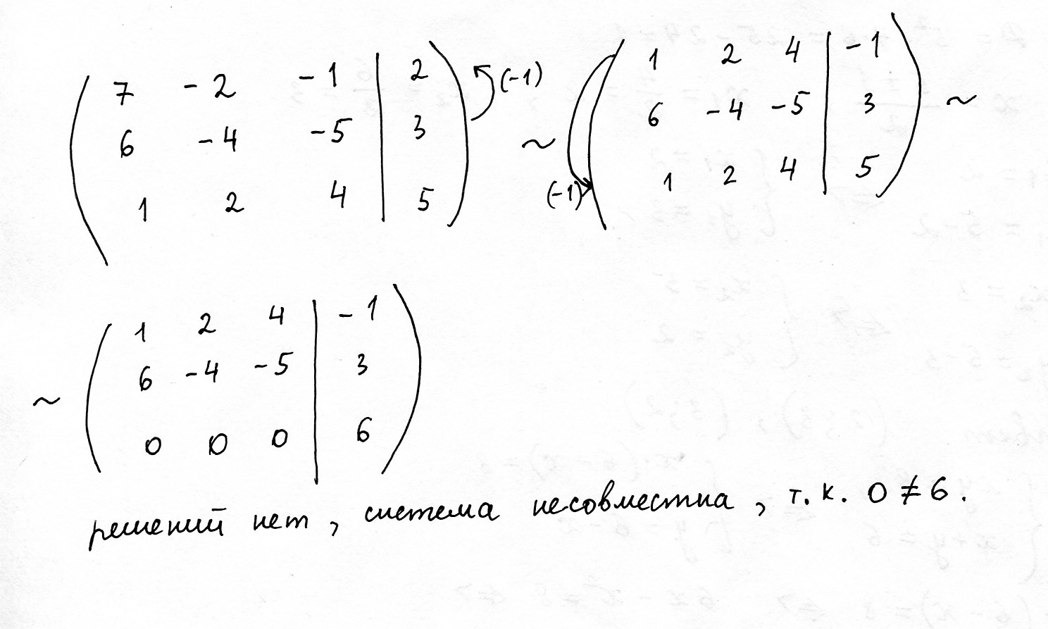
Решение методом Гаусса.
Приложения:

Ответ дал:
0
А методом крамера можете решить ?
Ответ дал:
0
Тут метод Крамера не подходит, поскольку определитель системы (без правого столбца) равен нулю.
Вас заинтересует
2 года назад
2 года назад
3 года назад
3 года назад
9 лет назад
9 лет назад
10 лет назад
10 лет назад