• Предмет: Математика
  • Автор: sadkent
  • Вопрос задан 9 лет назад

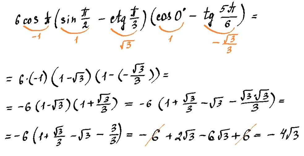
значение выражения 6 cos пи(sin пи/2-ctg пи/3)(cos 0градусов-tg 5пи/6) равно:
1) -2/корень3
2)-4корень3
3)0
4)-4

Ответы

Ответ дал: UluanaV
0
Решение в прикрепленном файле.
Приложения:
Вас заинтересует