• Предмет: Алгебра
  • Автор: Pizetiv4ik
  • Вопрос задан 9 лет назад

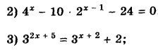
Помогите пожалуйста

Приложения:

Ответы

Ответ дал: lol20112002
0
А где первый и четвертый?

Ответ дал: Pizetiv4ik
0
Мне нужно только 2 и 3
Вас заинтересует